华体会网页版登录入口-华体会(中国)-华体会(中国) 华体会网页版登录入口-华体会(中国)-华体会(中国) 政策法规 产业市场 节能技术 能源信息 宏观环境 会议会展 活动图库 资料下载 焦点专题 智囊团 企业库
节能技术  中国节能产业网 >> 节能技术 >> 工业节能 >> 正文
模糊控制技术在变频空调器中的应用
来源:互联网 时间:2007-9-18 12:00:46 用手机浏览

 

   摘要:对变频式空调器的工作原理和模糊控制技术在变频式空调器中的应用进行了入探讨,并分析了其硬件系统的结构和软件系统的设计。

  关键词:空调器 变频 模糊控制 硬件系统 软件系统

空调技术的目标就是为要人们创造一个舒适的环境,但从室内而言,怛温环境并非是卫生和舒适的标准环境。因为除了温度以外,还有湿度、空气流速等多种因素影响到舒适的程度。而常规空调系统大多采用简单的机械温控开关来设定控制温度,通过压缩机的停开来实现空气调节系统的恒温控制。这种以温度为变量的行方式一方面忽略了影响人体舒适感的多因素性;另一方在由于压缩机频繁的起动和停止,不仅压缩机易损坏,且将造成一定的能量损耗。而采用模糊挖掘的变频式空调器,可以自动根据室内的热环境因素调节压缩机的转速,为人们创造一个舒适环境;同进也有利于节约电能,延长压缩机使用寿命。

1 变频空调器的工作原理

变频空调器采用由变频压缩机、电子膨胀阀、室内外换热器和风机系统构成的可变容量制冷系统,该系统主要完成三大调节功能,即压缩机功率调节、制冷剂流调节和热交换器能力的调节。其中压缩机功率调节由变频器完成,制冷剂流则由电子膨胀阀调节,而热交换能力由风扇调节。

变频空调器采用模糊控制技术输入作模糊技术处理后,可实现对多变量的动态控制,其控制关系如图1所示。它包括三个输入量:室内温差及其随时间的变化率,室内热换器管壁的温度及其时间的变化率,室外热换器管壁的温度及其随时间的变化率。输出量包括对空调器和制冷、制热、除湿、化霜、风向、风量等功能实行智能化控制.

变频空调器的工作原理可参见图2,它可分为模糊输入接口、模糊推理判别决策机构和模糊输出接口三个部分。

模糊输入接口主要功能是根据本次采样得到的系统输出值,计算所选择的系统输入变量,并输入变量的精确值变为模糊量,即将在被控系统的温度差及温度差变化率的精确值转化为模糊量,以便进行模糊推理和决策。

模糊决策机构的主要功能是根据输入变量的模糊量和模糊推理规则表推出控制决策。

模糊输出接口的主要的功能是把经模糊推理决策后所得的模糊控制量转化为精确量,去控制压缩机的转速。

2 模糊控制在变频空调器中的实现

变频空调器的控制器在自动工作方式下,根据温度和温差变化率推断出变频器的工作频率,进而控制压缩机的运行速度。

2.1 精确量的模糊化

本系统采用目前广泛采用的二维模糊控制器。设模糊变量为:e(温差)、de/dt(温差变化率)、?(输出量)。相应的模糊语言变量取值为:

e={负大(NB),负小(NS),零(ZO),正小(PS),正大(PB)}

△e={负高(NH), 负低(NL),零(ZO),正低(PL),正高(PH)}

}

?={零(ZO),低(L),高(H),最高(MH)}

精确量的模糊化主要是求各词集成的隶属函数。

2.2.1 温差模糊子集的隶属函数

可将温差论域划分为7档{-3,-2,-1,0,1,2,3},通过统可得模糊变量e的统计表,如表1所示。

2.2.2 温差变化率模糊子集的隶属函数

设温差变化论域划分为7档{-3,-2,-1,0,1,2,3},通过统计可得模糊量de/dt的赋值表,如表2所示。

2.2.3 输出量模糊子集的隶属函数

    设输出量量论域为7档{0,1,2,3,4,5,6}。通过统计可得输出变量?的赋值表如表3所示。

2.2 模糊控制规则的形成

对于双输入单输出模糊控制器,其控制规则可写成如下形式:

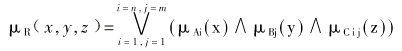
其中Ai:温差e的模糊子集,Bj:温差变化率de/dt模糊子集,Cij:输出量?模糊子集。根据实际运行经验进行分析、归纳,可确定模糊控制规则如表4所示。

2.3 模糊推理

表4中的控制规则可表示成一个总的模糊关系R,即:

    R的隶属函数为:

    当输入模糊变量分别取模糊集Aj、Bj时,根据模糊推理合成规则可得输出量Cij:

     Cij=(Ai×Bj)oR

    则输出量C的隶属关系为:

    根据以上公式得到的输出量的隶属函数后,采用加权平均法,则系统最终得出的精确量

   
f=∑(μf(fi)·fi)/∑μf(fi)

3 变频空调器硬件系统

新型的变频式模糊控制空调器实际上是一个多CPU控制系统,如图3和图4所示。它主要包括三个部分:红外遥控发射系统、室内机组控制系统、室外机组控制系统。其中红外遥控发射系统是一个良好的人机交互系统,便用用户选择相应的空调器工作方式和式作参数,控制空调器的开停;室内机组控制系统接收徕自于发射系统的遥控指令,借助于传感技术,采用模糊逻辑推理自动设定风机的转速和压缩机工作频率,控制室愉风机的无级调速以及风门的摇摆动作,并且将有关的决策信息通过串行通信方式传关到室外机助;室外机助控制系统接收室内机助的串行指令,利用PWM脉宽调制技术实现压缩机的制冷量连续调节。三者既相互独立,又能有效地传递、交换信息,最终成为一个有机的整体,使之达到操作方便、工作可靠、技术性能稳定、性价比高等期望结果。

4 软件系统的设计

变频式模糊控制分体空调器的软件设计为室内机、室外机和遥控器三部分。室内机与遥控器之间通过红外信号编码传递控制指令,室内机与室外机之间由串行通信接口传送信息。

室内机是控制系统的核心。其软件控制系统由主程序和若干子程序组成。子程序包括三个层次,最高层次有制冷子程序、除湿子程序、快速/超静子程序、应急控制子程序;中间层次有风机速度控制子程序、风门步进电机控制子程序、红外遥控指令输入捕捉中断子程序、实时时钟中断服务子程序、IRQ外部中断报务子程序;最低层次不串行通信子程序、数据采集及滤波子程序、延时子程序、报警提示子程序、模糊推理机等。其主要程序流程图如图5所示。

室外机控制系统软件可分为压缩机变频控制模块,与室内机的通信模块和信号采集、控制输出三大模块。其中变频控制软件是室外机控制系统的核心。其主程序流程图如图6所示。

变频式空调器,采用 模糊控制技术可根据周围环境状况自动采取最佳运行方式,以达到最舒适的环境。它抗干扰能力强,成本低,又省电,具有较强的竞争力。


分享到:
相关文章 iTAG:
浅析两种实用节能技术在道路照明中的应用
高压变频器在高炉除尘的应用及节电效果
国内变频空调知识介绍及技术现状分析
注塑机电液控制系统节能技术原理分析
注塑机节能技术的工作原理及应用
变频技术基础原理知识
变频器常用的控制方式综述
什么是工业模糊控制理论及应用
频道推荐
服务中心
微信公众号

CESI
关于本站
版权声明
广告投放
网站帮助
联系我们
网站服务
会员服务
最新项目
资金服务
园区招商
展会合作
中国华体会网页版登录入口-华体会(中国)-华体会(中国)上线下相结合的一站式节能服务平台。
©2007-2016 CHINA-ESI.COM
鄂ICP备16002099号
节能QQ群:39847109
顶部客服微信二维码底部
扫描二维码关注官方公众微信